Home
Advertisement
Home
Edu
The carrier frequency of a transmitter is provided by a tank circuit
The carrier frequency of a transmitter is provided by a tank circuit
Besdisha
January 10, 2020
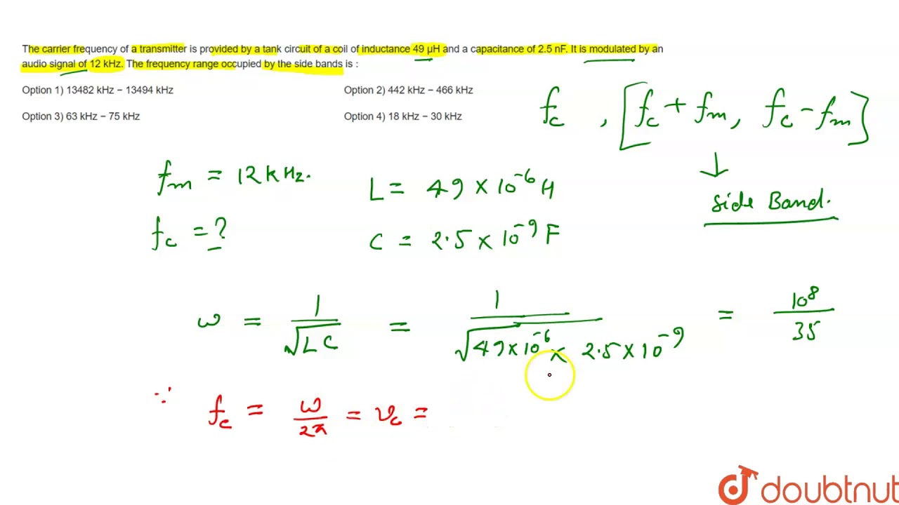
The carrier frequency of a transmitter is provided by a tank circuit of a coil of inductance 49 `muH` and a capacitance of 2.5 nF It is modulated by an audio signal of 12 kHz The frequency range occupied by the side bands is :
circuit
Post a Comment
0 Comments
Popular Videos
So many things go wrong here but whatever lmao
October 14, 2019
Ubuntu: Is it possible to unformat an ext4 partition that previously had an ext4 partition on it?
January 11, 2020
US and Iran appear to back off further military action
January 11, 2020
How to clean 🧼 sticky floor stains with rid-all mold and mildew stain remover by rid all
January 27, 2020
Elvis Duran Gives Retiring Employee A Trip To Paris, Nashville And $10,000 | Elvis Duran Exclusive
January 11, 2020
1-Click-Hack Going Flat Online
September 24, 2019
Pizza Hut | Cheese Stuffed Cheez-It® Pizza Review! | Pepperoni vs Plain Cheese | Joe is Hungry
September 23, 2019
Archive
February 2020
2371
January 2020
5721
December 2019
6148
November 2019
4803
October 2019
3157
September 2019
3681
August 2019
4916
July 2019
2743
June 2019
2810
May 2019
2893
April 2019
832
0 Comments